Муниципальное бюджетное общеобразовательное учреждение «Нармонская средняя общеобразовательная школа» Тетюшского муниципального района РТ
Визитная карточка
| Адрес: | 422370, с. Нармонка, ул. Школьная, д.1 |
| Телефон: | +7(843)-735-50-18 |
| E-Mail: | Snarm.Tet@tatar.ru |
| Министерство: | Министерство образования и науки Республики Татарстан |
| Короткое название: | МБОУ "Нармонская СОШ" ТМР РТ |
| Руководитель: | Садыкова Талия Гашигулловна |
| Год основания учреждения: | 1994 |
| У нас учатся: | 57 |
| У нас учат: | 14 |
Финансово-хозяйственная деятельность
План финансово-хозяйственной деятельности на 2019 год
Финансово-экономическая деятельность организации 2019 год
Финансово-экономическая деятельность организации 2020 год
План финансово-хозяйственной деятельности на 2021 год
План финансово-хозяйственной деятельности на 2022 год
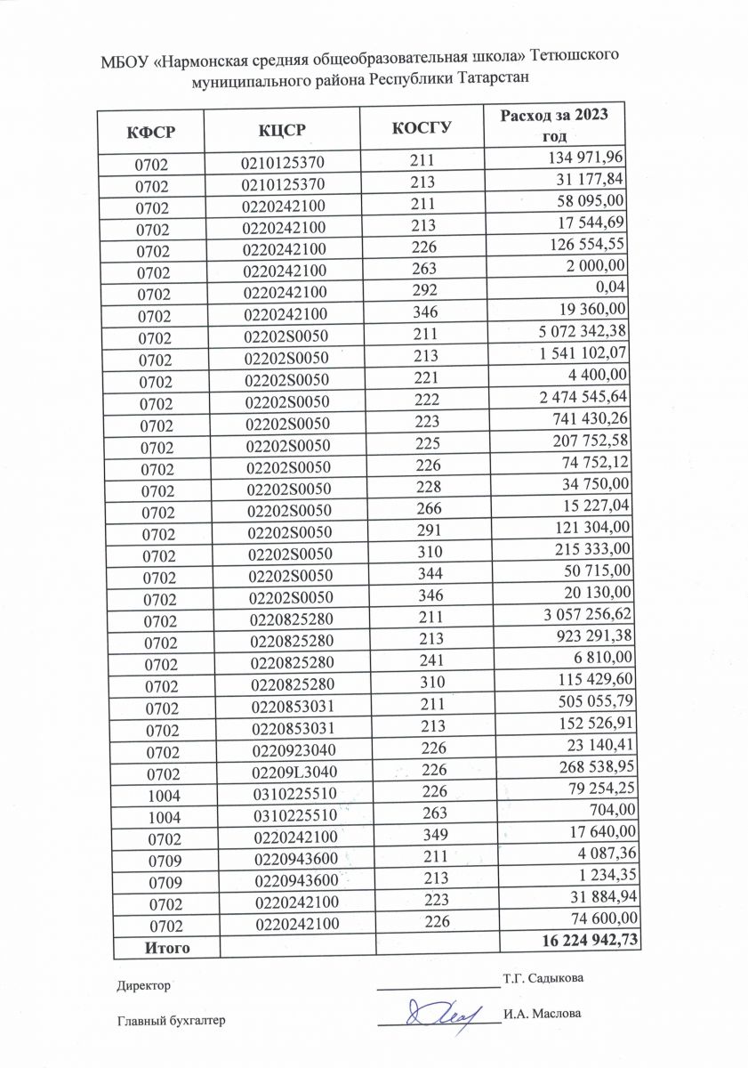
План финансово-хозяйственной деятельности на 2023 год
План финансово-хозяйственной деятельности на 2024 год
План финансово-хозяйственной деятельности на 2025 год

















