• Информируем вас, что с 1 января 2024 года оценки и расписание доступны в новой версии Электронного образования по адресу ms-edu.tatar.ru. В данной версии электронного дневника вы можете продолжать смотреть ранее полученные оценки.
    С более подробной информацией можно ознакомиться на сайте: info.edu.tatar.ru.

Электронное образование Республики Татарстан

Муниципальное бюджетное общеобразовательное учреждение «Малошемякинская начальная общеобразовательная школа-детский сад» Тетюшского муниципального района РТ

Решаем вместе
Есть предложения по организации учебного процесса или знаете, как сделать школу лучше?

Визитная карточка

Адрес: 422374, Республика Татарстан, Тетюшский район, с. Малое Шемякино, ул. 40 лет Победы, д. 23
Телефон: +7(843)-735-64-77
E-Mail: Smsm.Tet@tatar.ru
Министерство: Министерство образования и науки Республики Татарстан
Короткое название: МБОУ "Малошемякинская НОШ-детский сад"
Руководитель: Афанасьева Ольга Дмитриевна
Год основания учреждения: 1988
У нас учатся: 6/8
У нас учат: 4/1

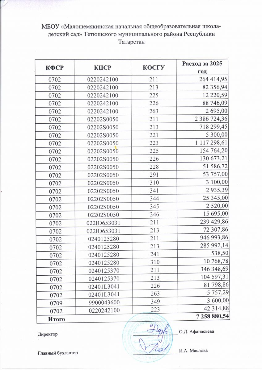
Информация о расходовании финансовых и материальных средств по итогам финансового 2025 года