Муниципальное бюджетное общеобразовательное учреждение «Киртелинская средняя общеобразовательная школа» Тетюшского муниципального района Республики Татарстан / Татарстан Республикасы Тәтеш муниципаль районы "Киртәле урта гомуми белем бирү мәктәбе" муниципаль бюджет гомуми белем бирү учреждениесе
Визитная карточка
| Адрес: | 422387,РТ, Тетюшский район, с. Киртели, ул.Гагарина, дом 14 |
| Телефон: | +7(843)-735-20-60 |
| E-Mail: | Skirt.Tet@tatar.ru |
| Министерство: | Министерство образования и науки Республики Татарстан |
| Короткое название: | МБОУ "Киртелинская СОШ" |
| Руководитель: | Бозина Наталья Ивановна |
| Год основания учреждения: | 1993 |
| У нас учатся: | 14 + 6 |
| У нас учат: | 9 педагогов |
Финансово-хозяйственная деятельность
Информация о расходовании финансовых и материальных средств по итогам финансового 2021 г.
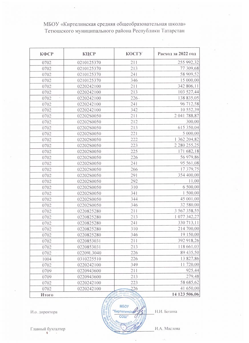
Информация о расходовании финансовых и материальных средств по итогам 2022 г.
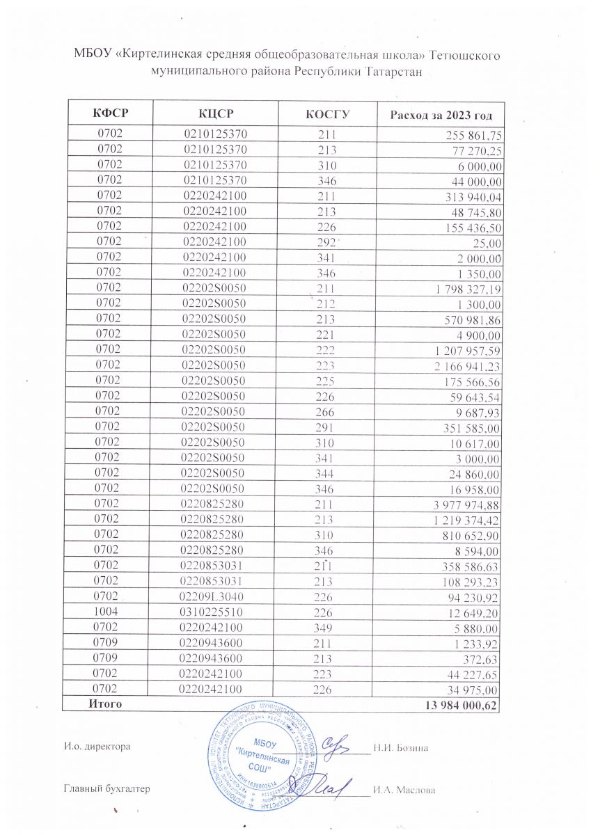
Информация о расходовании финансовых и материальных средств по итогам 2023 г.
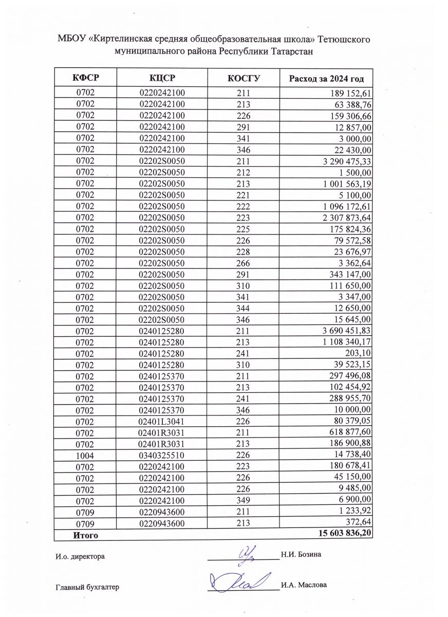
Информация о расходовании финансовых и материальных средств по итогам 2024 г.
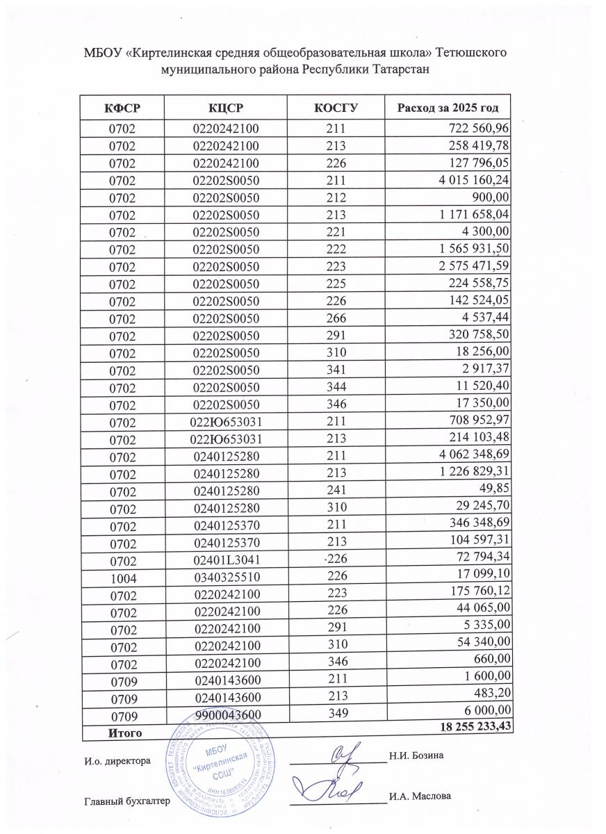
Информация о расходовании финансовых и материальных средств по итогам 2025 г.









