МБОУ «Средняя общеобразовательная школа №47» Советского района г. Казани / Казан шәһәре Совет районы 47 нче номерлы гомуми белем мәктәбе
Визитная карточка
| Адрес: | 420083,г. Казань, с. Константиновка, ул. Советская 77а / 420083,г. Казань, с. Константиновка, ул. Советская 77а-420083, Казан шәһәре, Константиновка бистәсе, Совет урамы 77 а йорт |
| Телефон: | +7(843)-237-02-67 |
| E-Mail: | Sch47.kzn@tatar.ru |
| Министерство: | Министерство образования и науки Республики Татарстан |
| Короткое название: | МБОУ "Школа № 47" |
| Руководитель: | Афонский Александр Валентинович |
| Год основания учреждения: | 2001 |
| У нас учатся: | 1097 учащихся / 1097 укучы (из них 13 иностранных граждан) |
| У нас учат: | 41 учителя / 41 укытучы |
Всероссийская олимпиада школьников (школьный этап)
Приказ МО и Н РТ О_проведении_школьного_этапа_всероссийской_и_республиканской.pdf
Приказ управления образования О проведении школьного этапа всероссийской олимпиады школьников.pdf
Приложение к Приказу УО ШЭ 2024-2025.pdf
График проведения олимпиад.jpg
приказ МБОУ Школа №47 о проведении школьного этапа ВСОШ и РОШ в 2024-2025 уч_г.pdf
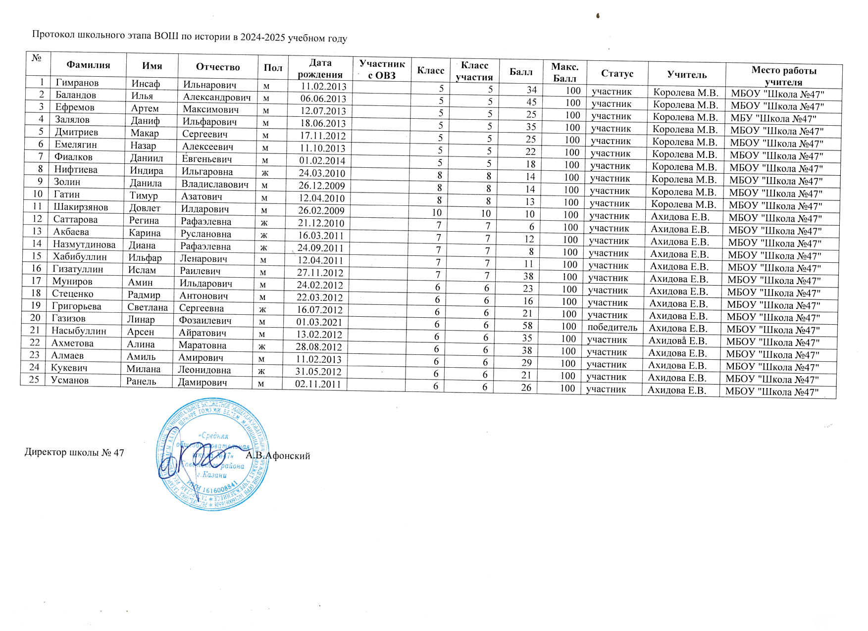
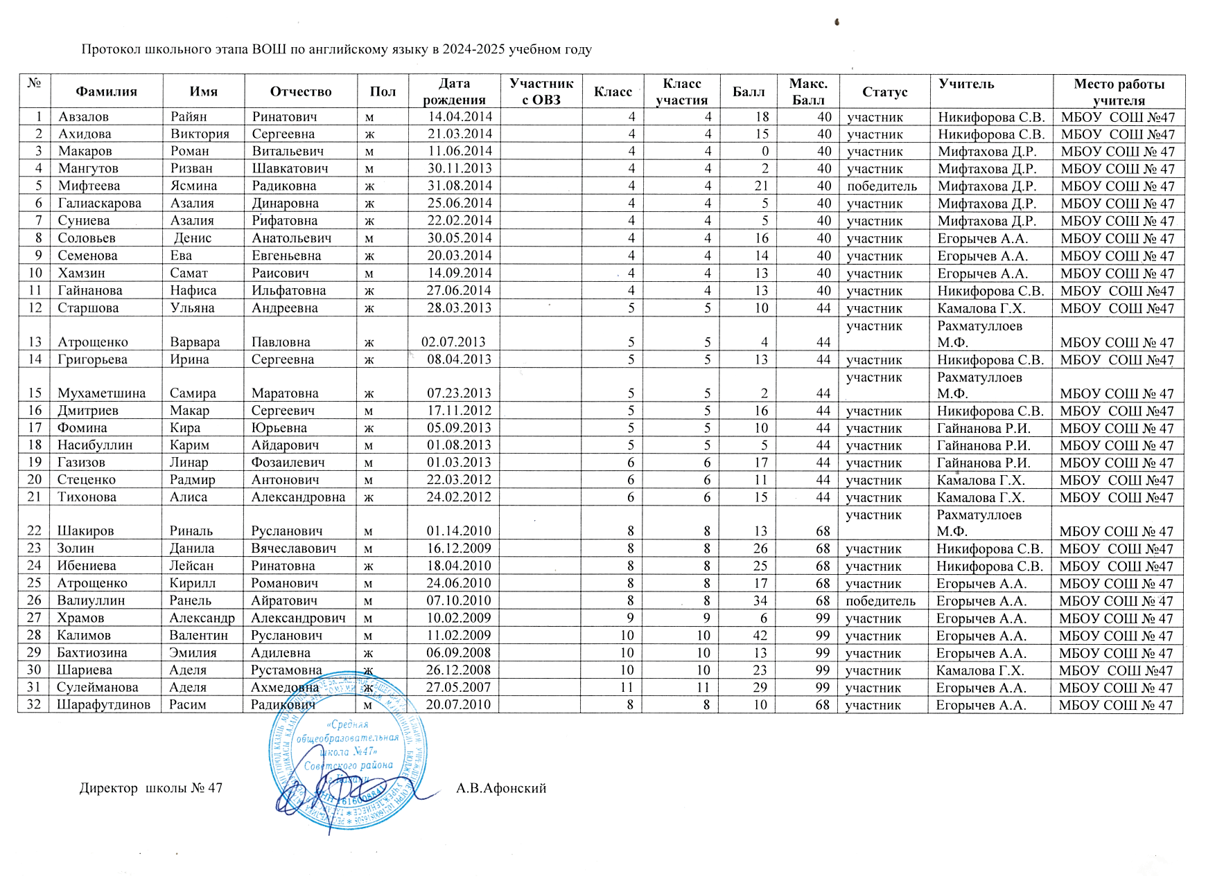
Протоколы школьного этапа Всероссийской олимпиады школьников по предметам:



