Муниципальное бюджетное общеобразовательное учреждение «Средняя общеобразовательная школа №38» Ново-Савиновского района г.Казани / / Казан шәһәре Яңа Савин районының “38 нче мәктәп” гомуми белем муниципаль бюджет учреждениесе
Визитная карточка
| Адрес: | Республика Татарстан, 420103, г.Казань, ул. Фатыха Амирхана, дом 55, корпус а |
| Телефон: | +7(843)-521-59-40;+7(843)-521-12-00 |
| E-Mail: | s38.kzn@tatar.ru |
| Министерство: | Министерство образования и науки Республики Татарстан |
| Короткое название: | МБОУ "Школа №38" |
| Руководитель: | Сафиуллина Эльвира Варисовна |
| Год основания учреждения: | 1973 |
| У нас учатся: | 641 ученика (иностранные граждане - 32) |
| У нас учат: | 34 педагогов язык обучения русский |
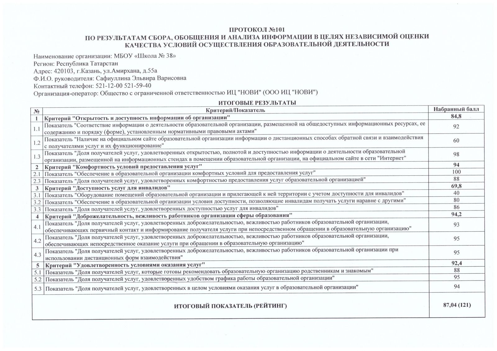
Независимая оценка качества условий осуществления образовательной деятельности
Пройдя по ссылке, http://opros.kazanobr.ru/test/sch001.html Вы имеете техническую возможность выразить своё мнение о качестве оказания услуг













