• Информируем вас, что с 1 января 2024 года оценки и расписание доступны в новой версии Электронного образования по адресу ms-edu.tatar.ru. В данной версии электронного дневника вы можете продолжать смотреть ранее полученные оценки.
    С более подробной информацией можно ознакомиться на сайте: info.edu.tatar.ru.

Электронное образование Республики Татарстан

Муниципальное бюджетное дошкольное образовательное учреждение «Центр развития ребенка - детский сад №1 «Бэлэкэч» г. Альметьевска Республики Татарстан || Татарстан республикасы Әлмәт шәһәренең "Баланың сәләтен үстерү үзәге 1-нче "Бэлэкэч" балалар бакчасы муниципаль бюджет мәктәпкәчә белем бирү учреждениесе

Решаем вместе
Есть предложения по организации учебного процесса или знаете, как сделать школу лучше?

Визитная карточка

Адрес: 423455.,Республика Татарстан, г. Альметьевск, ул. Ленина, д.197/ Әлмәт шәһәре Ленин урамы 197-нче йорт
Телефон: +7(855)-344-05-95
E-Mail: Belekech.1@tatar.ru
Министерство: Министерство образования и науки Республики Татарстан
Короткое название: МБДОУ «Центр развития ребенка - детский сад №1 «Бэлэкэч» Альметьевского муниципального района РТ
Руководитель: Каримова Ольга Николаевна
Год основания учреждения: 2011
У нас учатся: 318 детей 14 групп
У нас учат: 27

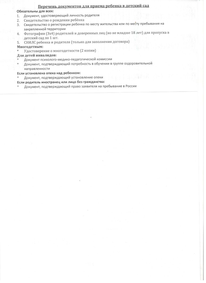
Перечень документов необходимых при приеме ребенка в ДОУ

Список документов